【MAB问题】简单却有效的Bandit算法

我在之前的文章中表达过,推荐系统的使命就是在建立用户和物品之间的连接。建立连接可以理解成:为用户匹配到最佳的物品;但也有另一个理解就是,在某个时间某个位置为用户选择最好的物品。

推荐就是选择

生活中,你我都会遇到很多要做选择的场景。上哪个大学,学什么专业,去哪家公司,中午吃什么等等。这些事情,都让选择困难症的我们头很大。头大在哪呢?主要是不知道每个选择会带来什么后果。
你仔细想一下,生活中为什么会害怕选择,究其原因是把每个选项看成独一无二的个体,一旦错过就不再来。推荐系统中一个一个单独的物品也如此,一旦选择呈现给用户,如果不能得到用户的青睐,就失去了一个展示机会。如果跳出来看这个问题,选择时不再聚焦到具体每个选项,而是去选择类别,这样压力是不是就小了很多?
比如说,把推荐选择具体物品,上升到选择策略。如果后台算法中有三种策略:按照内容相似推荐,按照相似好友推荐,按照热门推荐。每次选择一种策略,确定了策略后,再选择策略中的物品,这样两个步骤。
那么,是不是有办法来解决这个问题呢?当然有!那就是Bandit算法。

MAB问题

Bandit算法来源于人民群众喜闻乐见的赌博学,它要解决的问题是这样的。
一个赌徒,要去摇老虎机,走进赌场一看,一排老虎机,外表一模一样,但是每个老虎机吐钱的概率可不一样,他不知道每个老虎机吐钱的概率分布是什么,那么想最大化收益该怎么整?
这就是多臂赌博机问题(Multi-armed bandit problem, K-armed bandit problem, MAB),简称MAB问题。有很多相似问题都属于MAB问题。
  1. 假设一个用户对不同类别的内容感兴趣程度不同,当推荐系统初次见到这个用户时,怎么快速地知道他对每类内容的感兴趣程度?这也是推荐系统常常面对的冷启动问题。
  2. 假设系统中有若干广告库存物料,该给每个用户展示哪个广告,才能获得最大的点击收益,是不是每次都挑收益最好那个呢?
  3. 算法工程师又设计出了新的策略或者模型,如何既能知道它和旧模型相比谁更靠谱又对风险可控呢?
这些问题全都是关于选择的问题。只要是关于选择的问题,都可以简化成一个MAB问题。
我在前面的专栏中提过,推荐系统里面有两个顽疾,一个是冷启动,一个是探索利用问题,后者又称为EE问题:Exploit-Explore问题。针对这两个顽疾,Bandit算法可以入药。
冷启动问题好说,探索利用问题什么意思?
利用意思就是:比较确定的兴趣,当然要用啊。好比说我们已经挣到的钱,当然要花啊。
探索的意思就是:不断探索用户新的兴趣才行,不然很快就会出现一模一样的反复推荐。就好比我们虽然有一点钱可以花了,但是还得继续搬砖挣钱啊,要不然,花完了就要喝西北风了。

Bandit算法

Bandit算法并不是指一个算法,而是一类算法。现在就来介绍一下Bandit算法家族怎么解决这类选择问题的。
首先,来定义一下,如何衡量选择的好坏?Bandit算法的思想是:看看选择会带来多少遗憾,遗憾越少越好。在MAB问题里,用来量化选择好坏的指标就是累计遗憾,计算公式如图所示。

简单描述一下这个公式。公式有两部分构成:一个是遗憾,一个是累积。求和符号内部就表示每次选择的遗憾多少。
Wopt就表示,每次都运气好,选择了最好的选择,该得到多少收益,WBi就表示每一次实际选择得到的收益,两者之差就是“遗憾”的量化,在T次选择后,就有了累积遗憾。
在这个公式中:为了简化MAB问题,每个臂的收益不是0,就是1,也就是伯努利收益。
这个公式可以用来对比不同Bandit算法的效果:对同样的多臂问题,用不同的Bandit算法模拟试验相同次数,比比看哪个Bandit算法的累积遗憾增长得慢,那就是效果较好的算法。
Bandit算法的套路就是:小心翼翼地试,越确定某个选择好,就多选择它,越确定某个选择差,就越来越少选择它。
如果某个选择实验次数较少,导致不确定好坏,那么就多给一些被选择机会,直到确定了它是金子还是石头。简单说就是,把选择的机会给“确定好的”和“还不确定的”。
Bandit算法中有几个关键元素:臂,回报,环境。
  1. 臂:是每次选择的候选项,好比就是老虎机,有几个选项就有几个臂;
  2. 回报:就是选择一个臂之后得到的奖励,好比选择一个老虎机之后吐出来的金币;
  3. 环境:就是决定每个臂不同的那些因素,统称为环境。
将这个几个关键元素对应到推荐系统中来。
  1. 臂:每次推荐要选择候选池,可能是具体物品,也可能是推荐策略,也可能是物品类别;
  2. 回报:用户是否对推荐结果喜欢,喜欢了就是正面的回报,没有买账就是负面回报或者零回报;
  3. 环境:推荐系统面临的这个用户就是不可捉摸的环境。
下面直接开始陈列出最常用的几个Bandit算法。

1.汤普森采样算法

第一个是汤普森采样算法。这个算法我个人很喜欢它,因为它只要一行代码就可以实现,并且数学的基础最简单。
简单介绍一下它的原理:假设每个臂是否产生收益,起决定作用的是背后有一个概率分布,产生收益的概率为p。
每个臂背后绑定了一个概率分布;每次做选择时,让每个臂的概率分布各自独立产生一个随机数,按照这个随机数排序,输出产生最大随机数那个臂对应的物品。听上去很简单,为什么这个随机数这么神奇?
关键在于每个臂背后的概率分布,是一个贝塔分布,先看看贝塔分布的样子:

贝塔分布有a和b两个参数。这两个参数决定了分布的形状和位置:
  1. 当a+b值越大,分布曲线就越窄,分布就越集中,这样的结果就是产生的随机数会容易靠近中心位置;
  2. 当a/(a+b)的值越大,分布的中心位置越靠近1,反之就越靠近0,这样产生的随机数也相应第更容易靠近1或者0。
贝塔分布的这两个特点,可以把它分成三种情况:
  1. 曲线很窄,而且靠近1;
  2. 曲线很窄,而且靠近0;
  3. 曲线很宽。
这和前面所讲的选择有什么关系呢?你把贝塔分布的a参数看成是推荐后得到用户点击的次数,把分布的b参数看成是没有得到用户点击的次数。按照这个对应,再来叙述一下汤普森采样的过程。
  1. 取出每一个候选对应的参数a和b;
  2. 为每个候选用a和b作为参数,用贝塔分布产生一个随机数;
  3. 按照随机数排序,输出最大值对应的候选;
  4. 观察用户反馈,如果用户点击则将对应候选的a加1,否则b加1;
注意,实际上在推荐系统中,要为每一个用户都保存一套参数,比如候选有m个,用户有n个,那么就要保存2 n 个参数。
汤普森采样为什么有效呢?解释一下。
  1. 如果一个候选被选中的次数很多,也就是a+b很大了,它的分布会很窄,换句话说这个候选的收益已经非常确定了,用它产生随机数,基本上就在中心位置附近,接近平均收益。
  2. 如果一个候选不但a+b很大,即分布很窄,而且a/(a+b)也很大,接近1,那就确定这是个好的候选项,平均收益很好,每次选择很占优势,就进入利用阶段,反之则几乎再无出头之日。
  3. 如果一个候选的a+b很小,分布很宽,也就是没有被选择太多次,说明这个候选是好是坏还不太确定,那么用它产生随机数就有可能得到一个较大的随机数,在排序时被优先输出,这就起到了前面说的探索作用。
用Python实现汤普森采样就一行:
choice = numpy.argmax(pymc.rbeta(1 + self.wins, 1 + self.trials - self.wins))
choice = numpy.argmax(np.random.beta( 1 + self.wins, 1 + self.trials - self.wins))

2.UCB算法

第二个常用的Bandit算法就是UCB算法,UCB算法全称是Upper Confidence Bound,即置信区间上界。它也为每个臂评分,每次选择评分最高的候选臂输出,每次输出后观察用户反馈,回来更新候选臂的参数。
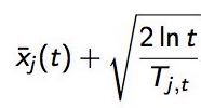
每个臂的评分公式为. 

公式有两部分,加号前面是这个候选臂到目前的平均收益,反应了它的效果,后面的叫做Bonus,本质上是均值的标准差,反应了候选臂效果的不确定性,就是置信区间的上边界。t是目前的总选择次数,Tjt是每个臂被选择次数。
观察这个公式,如果一个候选的被选择次数很少,即Tjt很小,那么它的Bonus就会较大,在最后排序输出时有优势,这个Bonus反映了一个候选的收益置信区间宽度,Bonus越大,候选的平均收益置信区间越宽,越不确定,越需要更多的选择机会。
反之如果平均收益很大,就是说加号左边很大,也会在被选择时有优势。
这个评分公式也和汤普森采样是一样的思想:
  1. 以每个候选的平均收益为基准线进行选择;
  2. 对于被选择次数不足的给予照顾;
  3. 选择倾向的是那些确定收益较好的候选。

3. Epsilon贪婪算法

这是一个朴素的算法,也很简单有效,思想有点类似模拟退火,做法如下。
  1. 先选一个(0,1)之间较小的数,叫做Epsilon,也是这个算法名字来历。
  2. 每次以概率Epsilon做一件事:所有候选臂中随机选一个,以1-Epsilon的概率去选择平均收益最大的那个臂。
是不是简单粗暴?Epsilon的值可以控制对探索和利用的权衡程度。这个值越接近0,在探索上就越保守。
和这种做法相似,还有一个更朴素的做法:先试几次,等每个臂都统计到收益之后,就一直选均值最大那个臂。

4.效果对比

以上几个算法,可以简单用模拟试验的方式对比其效果,如图所示。

横坐标是模拟次数增加,可以看成随着时间推移,纵坐标就是累积遗憾,越高说明搞砸的次数越多。在模拟后期,基本上各种算法优劣一目了然。从上到下分别是下面几种。
  1. 完全随机:就是不顾用户反馈的做法。
  2. 朴素选择:就是认准一个效果好的,一直推。
  3. Epsilon贪婪算法:每次以小概率尝试新的,大概率选择效果好的。
  4. UCB:每次都会给予机会较少的候选一些倾向。
  5. 汤普森采样:用贝塔分布管理每一个候选的效果。
UCB算法和汤普森采样都显著优秀很多。

冷启动

我想,你已经想到了,推荐系统冷启动问题可以用Bandit算法来解决一部分。(这些值只是为了解决冷启动的)
大致思路如下:
  1. 用分类或者Topic来表示每个用户兴趣,我们可以通过几次试验,来刻画出新用户心目中对每个Topic的感兴趣概率。
  2. 这里,如果用户对某个Topic感兴趣,就表示我们得到了收益,如果推给了它不感兴趣的Topic,推荐系统就表示很遗憾(regret)了。
  3. 当一个新用户来了,针对这个用户,我们用汤普森采样为每一个Topic采样一个随机数,排序后,输出采样值Top N 的推荐Item。注意,这里一次选择了Top N个候选臂。
  4. 等着获取用户的反馈,没有反馈则更新对应Topic的b值,点击了则更新对应Topic的a值。

总结

今天给你介绍了一种走一步看一步的推荐算法,叫做Bandit算法。Bandit算法把每个用户看成一个多变的环境,待推荐的物品就如同赌场里老虎机的摇臂,如果推荐了符合用户心目中喜欢的,就好比是从一台老虎机中摇出了金币一样。
今天重点介绍的Bandit算法有汤普森采样,UCB算法,Epsilon贪婪,并且用模拟的方式对比了它们的效果,汤普森采样以实现简单和效果显著而被人民群众爱戴,你需要时不妨首先试试它。
同时,这里留下一个问题给你,今天讲到的Bandit算法有哪些不足?欢迎留言和我一起讨论。