【矩阵分解】Facebook是怎么为十亿人互相推荐好友的#

上一篇中,我和你专门聊到了矩阵分解,在这篇文章的开始,我再为你回顾一下矩阵分解。

回顾矩阵分解

矩阵分解要将用户物品评分矩阵分解成两个小矩阵,一个矩阵是代表用户偏好的用户隐因子向量组成,另一个矩阵是代表物品语义主题的隐因子向量组成。
这两个小矩阵相乘后得到的矩阵,维度和原来的用户物品评分矩阵一模一样。比如原来矩阵维度是m x n,其中m是用户数量,n是物品数量,再假如分解后的隐因子向量是k个,那么用户隐因子向量组成的矩阵就是m x k,物品隐因子向量组成的矩阵就是n x k。
得到的这两个矩阵有这么几个特点:
  1. 每个用户对应一个k维向量,每个物品也对应一个k维向量,就是所谓的隐因子向量,因为是无中生有变出来的,所以叫做“隐因子”;
  2. 两个矩阵相乘后,就得到了任何一个用户对任何一个物品的预测评分,具体这个评分靠不靠谱,那就是看功夫了。
所以矩阵分解,所做的事就是矩阵填充。那到底怎么填充呢,换句话也就是说两个小矩阵怎么得到呢?
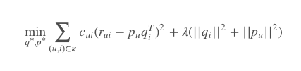
按照机器学习的套路,就是使用优化算法求解下面这个损失函数:
$$ \min_{q^{* },p^{* } } \sum_{(u,i) \in \kappa }{(r_{ui} - p_{u}q_{i}^{T})^{2} + \lambda (||q_{i}||^{2} + ||p_{u}||^{2})} $$
这个公式依然由两部分构成:加号左边是误差平方和,加号右边是分解后参数的平方。
这种模式可以套在几乎所有的机器学习训练中:就是一个负责衡量模型准不准,另一个负责衡量模型稳不稳定。行话是这样说的:一个衡量模型的偏差,一个衡量模型的方差。偏差大的模型欠拟合,方差大的模型过拟合。
有了这个目标函数后,就要用到优化算法找到能使它最小的参数。优化方法常用的选择有两个,一个是随机梯度下降(SGD),另一个是交替最小二乘(ALS)。
在实际应用中,交替最小二乘更常用一些,这也是社交巨头Facebook在他们的推荐系统中选择的主要矩阵分解方法,今天,我就专门聊一聊交替最小二乘求矩阵分解。

交替最小二乘原理 (ALS)

交替最小二乘的核心是交替,什么意思呢?你的任务是找到两个矩阵P和Q,让它们相乘后约等于原矩阵R:
$$ R_{m \times n} = P_{m \times k} \times Q^{T}_{n \times k} $$
难就难在,P和Q两个都是未知的,如果知道其中一个的话,就可以按照线性代数标准解法求得,比如如果知道了Q,那么P就可以这样算:
$$ P_{m \times k} = R_{m \times n} \times Q^{-1}_{n \times k}$$
也就是R矩阵乘以Q矩阵的逆矩阵就得到了结果。
反之知道了P再求Q也一样。交替最小二乘通过迭代的方式解决了这个鸡生蛋蛋生鸡的难题:
  1. 初始化随机矩阵Q里面的元素值;
  2. 把Q矩阵当做已知的,直接用线性代数的方法求得矩阵P;
  3. 得到了矩阵P后,把P当做已知的,故技重施,回去求解矩阵Q;
  4. 上面两个过程交替进行,一直到误差可以接受为止。
你看吧,机器就是这么单纯善良,先用一个假的结果让算法先运转起来,然后不断迭代最终得到想要的结果。这和做互联网C2C平台的思路也一样,告诉买家说:快来这里,我们是万能的,什么都能买到!
买家来了后又去告诉卖家们说:快来这里开店,我这里掌握了最多的剁手党。嗯,雪球就这样滚出来了。
交替最小二乘有这么几个好处:
  1. 在交替的其中一步,也就是假设已知其中一个矩阵求解另一个时,要优化的参数是很容易并行化的;
  2. 在不那么稀疏的数据集合上,交替最小二乘通常比随机梯度下降要更快地得到结果,事实上这一点就是我马上要说的,也就是关于隐式反馈的内容。

隐式反馈

矩阵分解算法,是为解决评分预测问题而生的,比如说,预测用户会给商品打几颗星,然后把用户可能打高星的商品推荐给用户,然而事实上却是,用户首先必须先去浏览商品,然后是购买,最后才可能打分。
相比“预测用户会打多少分”,“预测用户会不会去浏览”更加有意义,而且,用户浏览数据远远多于打分评价数据。也就是说,实际上推荐系统关注的是预测行为,行为也就是一再强调的隐式反馈。
那如何从解决评分预测问题转向解决预测行为上来呢?这就是另一类问题了,行话叫做One-Class。
这是什么意思呢?如果把预测用户行为看成一个二分类问题,猜用户会不会做某件事,但实际上收集到的数据只有明确的一类:用户干了某件事,而用户明确“不干”某件事的数据却没有明确表达。所以这就是One-Class的由来,One-Class数据也是隐式反馈的通常特点。
对隐式反馈的矩阵分解,需要将交替最小二乘做一些改进,改进后的算法叫做加权交替最小二乘:Weighted-ALS。
这个加权要从哪说起?用户对物品的隐式反馈,通常是可以多次的,你有心心念念的衣服或者电子产品,但是刚刚剁完手的你正在吃土买不起,只能每天去看一眼。
这样一来,后台就记录了你查看过这件商品多少次,查看次数越多,就代表你越喜欢这个。也就是说,行为的次数是对行为的置信度反应,也就是所谓的加权。
加权交替最小二乘这样对待隐式反馈:
  1. 如果用户对物品无隐式反馈则认为评分是0;
  2. 如果用户对物品有至少一次隐式反馈则认为评分是1,次数作为该评分的置信度。
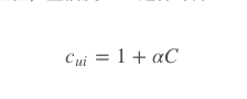
那现在的目标函数在原来的基础上变成这样:
$$ \min_{q^{* },p^{* } } \sum_{(u,i) \in \kappa }{c_{ui}(r_{ui} - p_{u}q_{i}^{T})^{2} + \lambda (||q_{i}||^{2} + ||p_{u}||^{2})} $$

多出来的Cui就是置信度,在计算误差时考虑反馈次数,次数越多,就越可信。置信度一般也不是直接等于反馈次数,根据一些经验,置信度Cui这样计算:
$$ c_{ui} = 1 + \alpha C $$

其中阿尔法是一个超参数,需要调教,默认值取40可以得到差不多的效果,C就是次数了。
这里又引出另一个问题,那些没有反馈的缺失值,就是在我们的设定下,取值为0的评分就非常多,有两个原因导致在实际使用时要注意这个问题:
  1. 本身隐式反馈就只有正类别是确定的,负类别是我们假设的,你要知道,One-Class并不是随便起的名字;
  2. 这会导致正负类别样本非常不平衡,严重倾斜到0评分这边。
因此,不能一股脑儿使用所有的缺失值作为负类别,矩阵分解的初心就是要填充这些值,如果都假设他们为0了,那就忘记初心了。应对这个问题的做法就是负样本采样:挑一部分缺失值作为负类别样本即可。
怎么挑?有两个方法:
  1. 随机均匀采样和正类别一样多;
  2. 按照物品的热门程度采样。
请允许我直接说结论,第一种不是很靠谱,第二种在实践中经过了检验。
还是回到初心来,你想一想,在理想情况下,什么样的样本最适合做负样本?
就是展示给用户了,他也知道这个物品的存在了,但就是没有对其作出任何反馈。问题就是很多时候不知道到底是用户没有意识到物品的存在呢,还是知道物品的存在而不感兴趣呢?
因此按照物品热门程度采样的思想就是:一个越热门的物品,用户越可能知道它的存在。那这种情况下,用户还没对它有反馈就表明:这很可能就是真正的负样本。
按照热门程度采样来构建负样本,在实际中是一个很常用的技巧,我之前和你提到的文本算法Word2Vec学习过程,也用到了类似的负样本采样技巧。

推荐计算

在得到了分解后的矩阵后,相当于每个用户得到了隐因子向量,这是一个稠密向量,用于代表他的兴趣。同时每个物品也得到了一个稠密向量,代表它的语义或主题。而且可以认为这两者是一一对应的,用户的兴趣就是表现在物品的语义维度上的。
看上去,让用户和物品的隐因子向量两两相乘,计算点积就可以得到所有的推荐结果了。但是实际上复杂度还是很高,尤其对于用户数量和物品数量都巨大的应用,如Facebook,就更不现实。于是Facebook提出了两个办法得到真正的推荐结果。
第一种,利用一些专门设计的数据结构存储所有物品的隐因子向量,从而实现通过一个用户向量可以返回最相似的K个物品。
Facebook给出了自己的开源实现Faiss,类似的开源实现还有Annoy,KGraph,NMSLIB。
其中Facebook开源的Faiss 和NMSLIB(Non-Metric Space Library)都用到了ball tree来存储物品向量。
如果需要动态增加新的物品向量到索引中,推荐使用Faiss,如果不是,推荐使用NMSLIB或者KGraph。用户向量则可以存在内存数据中,这样可以在用户访问时,实时产生推荐结果。
第二种,就是拿着物品的隐因子向量先做聚类,海量的物品会减少为少量的聚类。然后再逐一计算用户和每个聚类中心的推荐分数,给用户推荐物品就变成了给用户推荐物品聚类。
得到给用户推荐的聚类后,再从每个聚类中挑选少许几个物品作为最终推荐结果。这样做的好处除了大大减小推荐计算量之外,还可以控制推荐结果的多样性,因为可以控制在每个类别中选择的物品数量。

总结

在真正的推荐系统的实际应用中,评分预测实际上场景很少,而且数据也很少。因此,相比预测评分,预测“用户会对物品干出什么事”,会更加有效。
然而这就需要对矩阵分解做一些改进,加权交替最小二乘就是改进后的矩阵分解算法,被Facebook采用在了他们的推荐系统中,这篇文章里,我也详细地解释了这一矩阵分解算法在落地时的步骤和注意事项。
其中,我和你提到了针对One-Class这种数据集合,一种常用的负样本构建方法是根据物品的热门程度采样,你能想到还有哪些负样本构建方法吗?欢迎留言一起讨论。感谢你的收听,我们下次再见