【概念篇】个性化推荐系统那些绕不开的经典问题#

推荐系统发展到了今天,已经出现了一些常见的问题,一部分已经有很好的解决方案,另外一部分却还没有通用解决方案,需要根据实际情况做一下具体的分析。
今天我来和你聊一聊这些问题。我会首先讲讲一些推荐系统中的问题模式,然后再专门说一些需要面对的具体问题。

推荐系统的问题模式

我们知道,推荐系统的使命是为用户和物品建立连接,建立的方式是提前找出那些隐藏的连接呈现给用户,这是一个预测问题;所以推荐系统的预测问题模式,从达成的连接目标角度区分,有两大类:
  1. 评分预测;
  2. 行为预测。
因为评分和行为是用户对推荐结果的两类反馈,我们给他们推荐了一个或多个物品,目的是希望他们“消费”,这种消费反应在用户行为上,比如“点击查看”,信息咨询类的还有“阅读完成”,视频音乐类的有“播放完成”,电商类的“加入购物车”等。
整个行为呈现一个漏斗形状,从曝光到最终消费完成。最后在用户完成消费后,产品方一般还希望他们告诉自己消费的体验,这时候就有评分了;所以不同推荐系统的任务也不同,有的直接去预测用户如果消费完之后会给多少评分,更多的推荐系统则会分层,致力于预测用户的行为。下面我分别详细说一下这两类问题。

评分预测

评分预测相关算法模型研究的兴盛,最大的助攻是 Netflix 举办的推荐算法大赛。
评分预测要干的事情是这样的:假如用户消费完一个物品之后会给出一个打分,比如通常是1~5分,或者有的网站用星星的颗数表示,也是一样。
我们就想能不能提前预测一个用户对每一个物品会打多少分,找出那些他可能会打高分,但是还没消费的物品,然后装作若无其事地呈现在他面前,惊不惊喜,意不意外?
说干就干,怎么干呢?正如王小波给李银河写的信那样:不能胡干。一个朴素的思想是:建立一个模型,这个模型会给用户历史上打过分的物品去预测分数。
预测分数和实际分数之间会有误差,我们根据这个误差去调整模型参数,让这个误差越来越小,最后得到的这个模型理论上就可以为我们干活了。事实上,这其实就是个机器学习里面的回归问题。
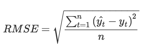
Netflix比赛的评判标准就是 RMSE ,即均方根误差,怎么算的呢?
这个公式中的t表示每一个样本,n 表示总共的样本数,有帽子的 yt 就是模型预测出的分数,是我们交的作业,秃顶的 yt 就是用户自己打的分数,是标准答案,然后一个样本一个样本地对答案,模型预测分数和用户自己打分相减,这就是我们预测的误差。
由于误差有正数也有负数,而我们只关心绝对值大小,所以再给误差求平方,这就是名字中的“方”的来源,再对所有样本的误差平方求平均值,这就是名字中“均”的来源,因为我们对误差都平方了,所以最后再对均值开方根,这就是名字中的“根”的来源。这个过程就是求均方根误差。
评分预测问题常见于各种点评类产品(如:书影音的点评),但评分类推荐存在以下问题:
  1. 数据不易收集,我刚才说过,用户给出评分意味着他已经完成了前面所有的漏斗环节;
  2. 数据质量不能保证,伪造评分数据门槛低,同时真实的评分数据又处在转化漏斗最后一环,门槛高;
  3. 评分的分布不稳定,整体评分在不同时期会差别很大,个人评分在不同时期标准不同,人和人之间的标准差别很大。
用户爸爸们给产品施舍的评分数据,我们又叫做显式反馈,意思是他们非常清晰明白地告诉了我们,他们对这个物品的态度;与之相对的还有隐式反馈,通常就是各类用户行为,也就是另一类推荐系统问题:行为预测。

行为预测

实际上,用户爸爸们每天要在不同的 App 或者网站之间不停批阅奏章,日理万机,非常忙,所以能够提交的像评分这种显式反馈数据很少。
但是没关系,只要用户来了,就会有各种行为数据产生,从登录刷新,到购买收藏,都是用户行为,这类数据是用户们在自觉自愿的情况下产生的,数据量比显式反馈多很多。
用户的行为通常呈现漏斗关系,我希望用户最终达成的行为可能不是那么容易得到的,比如购买,比如建立一个社交关系,比如完整消费一个长内容,通常是从登录刷新开始,逐层经历漏斗流失。
而推荐系统肩负的使命自然是达成用户行为,也就是连接越多越好。这也是这一类推荐系统问题的关注点。
推荐系统预测行为方式有很多,常见的有两种:直接预测行为本身发生的概率,和预测物品的相对排序。直接预测用户行为这一类技术,有一个更烂大街的名字,叫做CTR预估。这里的C原本是点击行为Click,但这个解决问题的模式可以引申到任何其他用户行为,如收藏、购买。
CTR意思就是 Click Through Rate,即“点击率”。把每一个推荐给用户的物品按照“会否点击”二分类,构建分类模型,预估其中一种分类的概率,就是CTR预估。
行为预测说白了,就是利用隐式反馈数据预测隐式反馈的发生概率;也因此,各家互联网产品要高度重视隐式反馈,归纳起来有以下几点原因。
  1. 数据比显式反馈更加稠密。诚然,评分数据总体来说是很稀疏的,之前Netflix的百万美元挑战赛给出的数据稀疏度大概是1.2%,毕竟评分数据是要消耗更多注意力的数据。
  2. 隐式反馈更代表用户的真实想法,比如你不是很赞成川普的观点,但还是想经常看到他的内容(以便吐槽他),这是显式反馈无法捕捉的。而人们在Quora上投出一些赞成票也许只是为了鼓励一下作者,或者表达一些作者的同情,甚至只是因为政治正确而投,实际上对内容很难说真正感兴趣。
  3. 隐式反馈常常和模型的目标函数关联更密切,也因此通常更容易在AB测试中和测试指标挂钩。这个好理解,比如CTR预估当然关注的是点击这个隐式反馈。
用户给出较高评分的先决条件是用户要有“评分”的行为,所以行为预测解决的是推荐系统的80%问题,评分预测解决的是最后那20%的问题,行为预测就像是我们剁手买买买后,可爱的商品要先乘坐飞机,飞跃千山万水到所在区域来,而评分预测则是快递员最终将东西递交到你手上这个过程。

几个常见顽疾

讨论了两大类推荐系统的问题后,我们再来看几个推荐系统的隐藏顽疾。之所以说这些是隐藏顽疾,是因为它们还没有很好的通用解决方案,并且不容易被重视,这几个顽疾分别是:
  1. 冷启动问题;
  2. 探索与利用问题;
  3. 安全问题。

1 冷启动问题

推荐系统是数据贪婪型应用,所谓数据贪婪型应用,就是对数据的需求绝无足够的那一天。冷启动问题广泛存在于互联网产品中,但我们这里仅仅限于推荐系统的冷启动。
新用户或者不活跃用户,以及新物品或展示次数较少的物品,这些用户和物品,由于缺乏相关数据,很是空虚寂寞冷,因此就是冷启动问题的关注对象。
关于“如何解决冷启动”本身,有伪命题的嫌疑,因为通常的解决方式就是给它加热:想办法引入数据,想办法从已有数据中主动学习(一种半监督学习)。我们会在后面的文章中详细讨论冷启动的问题。

2 探索与利用问题

探索与利用,行话又叫做EE问题。假如我们已经知道了用户的喜好,一般有三种对待方式:
  1. 全部给他推荐他目前肯定感兴趣的物品;
  2. 无视他的兴趣,按照其他逻辑给他推荐,如编辑推荐、随机推荐、按时间先后推荐等等;
  3. 大部分给他推荐感兴趣的,小部分去试探新的兴趣,如同一边收割长好的韭菜,一边播种新的韭菜。
哪一种更科学和持久呢?显然是第三种,那么如何平衡这里的“大部分”和“小部分”呢?
这就是 Exploit 和 Explore 问题的核心了。Exploit意为“开采”,对用户身上已经探明的兴趣加以利用,Explore 意为“探索”,探明用户身上还不知道的兴趣。
我们会在后面的文章中详细讨论EE问题。

3 安全问题

凡是系统就有漏洞,凡是漏洞有利可图,就一定有人去图,推荐系统也不例外。如果你正在一款流量非常大的产品上构建推荐系统,那么一定要考虑推荐系统攻击问题。推荐系统被攻击的影响大致有以下几个:
  1. 给出不靠谱的推荐结果,影响用户体验并最终影响品牌形象;
  2. 收集了不靠谱的脏数据,这个影响会一直持续留存在产品中,很难完全消除;
  3. 损失了产品的商业利益,这个是直接的经济损失。
所以推荐系统的安全问题:有哪些攻击手段,以及对应的防御办法,这些我们也会在后面的文章中予以讨论。

总结

今天,我从两个角度总结了推荐系统中的常见问题。
第一个角度是模型的角度,将推荐系统的模型分成了预测评分和预测行为,这样一来,自己有什么数据就选择什么样的模型。另一个角度是看看推荐系统中一些永恒存在但是潜在的问题,包括冷启动、EE问题、安全问题。
好了,说到这里,你可以去观察一下你用过的推荐系统,看看它们的模型是预测评分还是预测行为,你可以在下面留言,我们一起讨论。感谢你的收听,我们下次再见。
想迅速了解并掌握推荐系统的同学,可以购买《推荐系统三十六式》专栏,作者在推荐系统方面有8年的经验,为推荐系统学习者架构起整体的知识脉络,并在此基础上补充实践案例与经验,力图解决系统起步阶段 80% 的问题。