【关键模块】让数据驱动落地,你需要一个实验平台

数据驱动这个口号喊了很多年了,这个口号也几乎成为了行业共识,但是数据驱动又像鬼一样,人人都在说,但几乎没人见过它长什么样子。

数据驱动和实验平台

要做到数据驱动,就要做到两点:第一点是数据,第二点是驱动。这听上去似乎像是废话,实际上不是。
这第一点的意思是,要采集数据,全方位,数据像是石油一样,没有它就谈不上驱动;第二点的意思是要让大家看数据,光采集了没有用,还需要让所有人盯着数据看。
而要做到驱动,需要一个AB实验平台。数据驱动的重点是做对比实验,通过对比,让模型、策略、设计等不同创意和智慧结晶新陈代谢,不断迭代更新。
对比实验也常常被大家叫做ABTest,这个意思就是一个A实验,一个B实验,这样说可能有些模糊,所以我需要先和你说说什么叫做对比实验,然后再说说一个对比实验平台应该长什么样子。
你都可以把任何一家个性化推荐产品想象成一个函数,这个函数有很多参数影响它工作,函数的输出就是推荐物品列表。这些函数参数可以有各种组合,通过其中一种参数组合去面对一小股用户的考验,这就是一个实验。
要做实验,要做很多实验,要很快做很多实验,要很多人同时很快做很多实验,就需要实验平台。
要讨论实验平台,先要认识实验本身。互联网实验,需要三个要素。
  1. 流量:流量就是用户的访问,也是实验的样本来源。
  2. 参数:参数就是各种组合,也是用户访问后,从触发互联网产品这个大函数,到最后返回结果给用户,中间所走的路径。
  3. 结果:实验的全过程都有日志记录,通过这些日志才能分析出实验结果,是否成功,是否显著。
把互联网产品想象一个有向无环图,每个节点是一个参数,不同的分支是参数的不同取值,直到走到终点,这一条路径上所有经过的参数取值,构成了服务的调用路径。
具体在推荐系统中,可能这些参数就是不同的模型与策略名称。每当一个用户经过这一系列的调用路径后,就为每一个分支产生了一条实验样本。
于是问题来了,每一个用户到来时,如何为他们决定要走哪条路径呢?这就要先经过实验对照来看。
实验要观察的结果就是一个随机变量,这个变量有一个期望值,要积累很多样本才能说观察到的实验结果比较接近期望值了,或者要观察一定时期才能说对照实验之间有区别或者没区别。
因为只有明显有区别并且区别项好,才能被进一步推上全线。
在设计一个实验之初,实验设计人员总是需要考虑下面这些问题。
  1. 实验的起止时间。这涉及到样本的数量,关系到统计效果的显著性,也涉及能否取出时间因素的影响。
  2. 实验的流量大小。这也涉及了样本的数量,关系到统计效果的显著性。
  3. 流量的分配方式。每一个流量在为其选择参数分支时,希望是不带任何偏见的,也就是均匀采样,通常按照UUID或者Cookie随机取样。
  4. 流量的分配条件。还有一些实验需要针对某个流量的子集,例如只对重庆地区的用户测试,推荐时要不要把火锅做额外的提升加权。
  5. 流量如何无偏置。这是流量分配最大的问题,也是最难的问题。同时只做一个实验时,这个问题不明显,但是要同时做多个实验,那么如何避免前面的实验给后面的实验带来影响,这个影响就是流量偏置,意思是在前面实验的流量分配中,有一种潜在的因素在影响流量分配,这个潜在的因素不易被人察觉,潜在的因素如果会影响实验结果,那么处在这个实验后面获得流量的实验,就很难得到客观的结论。这个无偏置要求,也叫做“正交”。
这些问题也是实验平台在设计之初要考虑的。试想一下,推荐系统中,算法工程师总是在尝试很多模型,或者在线下给出很多的模型调参,线下评测时,各种指标都是一片锣鼓喧天、红旗招展,恨不得立即上线去验验真实效果。
每一个算法工程师都这么想,但是线上流量有限,因此需要重叠实验,废水循环,最好能够做到洗脸的水冲马桶,这样灵活的实验平台长什么样子。
Google公司的实验平台已经成为行业争相学习的对象,所以今天我会以Google的实验平台为主要对象,深入浅出地介绍一个重叠实验平台的方方面面。

重叠实验架构

所谓重叠实验,就是一个流量从进入产品服务,到最后返回结果呈现给用户,中间设置了好几个检查站,每个检查站都在测试某些东西,这样同时做多组实验就是重叠实验。
前面说了,重叠实验最大的问题是怎么避免流量偏置。为此,需要引入三个概念。
  1. 域:是流量的一个大的划分,最上层的流量进来时首先是划分域。
  2. 层:是系统参数的一个子集,一层实验是对一个参数子集的测试。
  3. 桶:实验组和对照组就在这些桶中。
层和域可以互相嵌套。意思是对流量划分,例如划分出50%,这50%的流量是一个域,这个域里面有多个实验层,每一个实验层里面还可以继续嵌套域,也就是可以进步划分这50%的流量。下面这两个图示意了有域划分和没有域划分的两种情况。
图中左边是一个三层实验,但是并没有没有划分域。第一层实验要测试UI相关,第二层要测试推荐结果,第三层要测试在推荐结果插入广告的结果。
三层互不影响。图中的右边则添加了域划分,也就是不再是全部流量都参与实验中,而是被分走了一部分到左边域中。剩下的流量和左边的实验一样。
这里要理解一点,为什么多层实验能做到重叠而不带来流量偏置呢?
这就需要说桶的概念。还是上面示意图中的左图,假如这个实验平台每一层都是均匀随机分成5个桶,在实际的实验平台上,可能是上千个桶,这里只是为了举例。
示意图如下:
这是一个划分域的三层实验。每一层分成5个桶,一个流量来了,在第一层,有统一的随机分流算法,将Cookie或者UUID加上第一层ID,均匀散列成一个整数,再把这个整数对5取模,于是一个流量就随机地进入了5个桶之一。
每一个桶均匀得到20%的流量。每一个桶里面已经决定好了为你展示什么样的UI,流量继续往下走。每一个桶的流量接着依然面对随机进入下一层实验的5个桶之一,原来每个桶的20%流量都被均分成5份,每个桶都有4%的流量进入到第二层的每个桶。
这样一来,第二层每个桶实际上得到的依然是总流量的20%,而且上一层实验带来的影响被均匀地分散在了这一层的每一个桶中,也就是可以认为上一层实验对这一层没有影响。同样的,第三层实验也是这样。
这就是分层实验最最基本的原理。在这个基础上,增加了域的概念,只是为了更加灵活地配置更多实验。
关于分层实验,有几点需要注意:
  1. 每一层分桶时,不是只对Cookie或者UUID散列取模,而是加上了层ID,是为了让层和层之间分桶相互独立;
  2. Cookie或者UUID散列成整数时,考虑用均匀的散列算法,如MD5。
  3. 取模要一致,为了用户体验,虽然是分桶实验,但是同一个用户在同一个位置每次感受不一致,会有损用户体验。
Google的重叠实验架构还有一个特殊的实验层,叫做发布层,优先于所有其他的实验层,它拥有全部流量。这个层中的实验,通常是已经通过了ABtest准备全量发布了。示意图如下:
前面举例所说的对用户身份ID做散列的流量分配方式,只是其中一种,还有三种流量分配方式,一共四种:
  1. Cookie+层ID取模;
  2. 完全随机;
  3. 用户ID+层ID取模;
  4. Cookie+日期取模。
在实验中,得到流量后还可以增加流量条件,比如按照流量地域,决定要不要对其实验,如果不符合条件,则这个流量不会再参与后面的实验,这样避免引入偏置,那么这个流量会被回收,也就是使用默认参数返回结果。
在Google的架构中,由于层和域还可以嵌套,所以在进入某个层时,可能会遇到一个嵌套域,这时候需要按照域划分方式继续下沉,直到遇到实验或者被作为回收流量返回。整个实验平台,工作的示意图如下所示:
说明如下:
  1. 图中涉及了判断的地方,虚线表示判断为假,实线表示判断为真。
  2. 从最顶端开始,不断遍历域、层、桶,最终输出一个队列Re,其中记录对每一个系统参数子集如何处理,取实验配置的参数还是使用默认参数,其中无偏流量表示使用默认参数,也就是在那一层不参与实验,流量被回收。
  3. 拿到Re就得到了全部的实验,在去调用对应的服务。

统计效果

除了分层实验平台之外,还存在另一个问题,每一个实验需要累计获得多少流量才能得到实验结论呢?
这涉及了一点统计学知识。实验得到的流量不够,可以说实验的结论没有统计意义,也就浪费了这些流量,而实验在已经具有统计意义之后,如果还占用流量做测试,则也是在浪费流量。
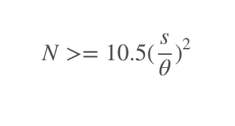
如何确定实验规模呢?Google给出了如下公式:
$$N >= 10.5(\frac{s}{\theta})^2$$

公式中:
  1. $s$ 是实验指标的标准差。
  2. $\theta$ 是希望检测的敏感度,比如想检测到2%的CTR变化。
上面这个公式计算出来的实验规模,表示以90%的概率相信结果的显著性,也就是有90%的统计功效。

对比实验的弊端

AB测试实验平台,是产品要做到数据驱动必不可少的东西,但是这种流量划分的实验方式也有自己的弊端,列举如下:
  1. 落入实验组的流量,在实验期间,可能要冒着一定的风险得到不好的用户体验,在实验结束之前,这部分流量以100%的概率面对这不确定性;
  2. 要得得到较高统计功效的话,就需要较长时间的测试,如果急于看到结果全面上线来说有点不能接收;
  3. 下线的实验组如果不被人想起,就不再有机会得到测试。
诸如此类弊端,也可以考虑在实验平台中用Bandit算法替代流量划分的方式,通过Bandit算法选择不同的参数组合、策略,动态实时地根据用户表现给出选择策略,一定程度上可以避免上面列举的弊端。

总结

实验平台是推荐系统要做到数据驱动必不可少的东西,但是如何做到科学高效快速地做实验呢?
常见的做实验,只是简单地选择一个尾号的用户ID作为实验组,再选择另一个尾号作为对照组,甚至选择剩下所有的用户ID作为对照组。
这样做出来的实验,显然是有问题,因为并不知道通过用户尾号来分组是不是能做到无偏?另一个问题是,这样就只能在一个时期只能做一个实验,非常低效。
本文以Google开放的实验平台架构作为原型,对其核心技术做了详细介绍。这个实验平台做到了同时无偏地做多组对照实验。因为它巧妙地引入了三个概念的嵌套结合:
  1. 域;
  2. 层;
  3. 桶。
三个概念层层相扣,流量划分得到了一个可行的方案。这个实验平台方案已经应用在很多公司中,你不妨在自己的公司尝试做一下。
最后留给你一个问题,关于分层实验的原理,你是否已经理解了为什么层和层之间可以做到毫不影响,欢迎给我留言讨论。